Блог для маленьких школьников и их родителей
ШколаЛа
18
Июнь

Две задачи по алканам. Очень надеюсь на помощь) (98 баллов)

Автор: кеклол28лкдк
Предмет: Химия
Уровень: 5 - 9 класс

Две задачи по алканам. Очень надеюсь на помощь)
(98 баллов)

Ответов к вопросу: 2
  • alisafedko
    18.06.2024 | 10:18

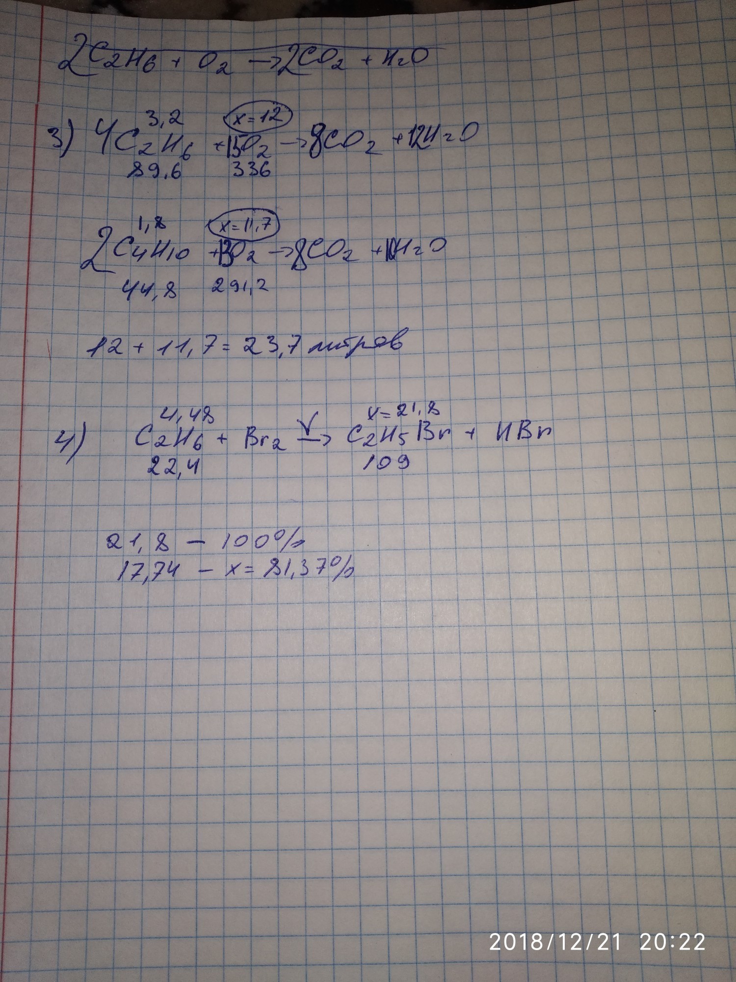
    решение задач на фото
    .

  • sonya353571
    18.06.2024 | 10:28

    Пожалуйста.Если будут вопросы, то в комментарии.

Ответить на вопрос:
:p :-p 8) 8-) :lol: =( :( :-( :8 ;) ;-) :(( :o:
Нажимая на кнопку я даю согласие на обработку персональных данных и принимаю политику конфиденциальности.

Ответы на задачу по Две задачи по алканам. Очень надеюсь на помощь) (98 баллов) для школьников 5 - 9 класс. Прочитайте множественные решения и обсудите подходы с участниками. Ответы на этот вопрос уже есть. На нашем сайте вы можете задать свой вопрос и стать частью сообщества экспертов, помогая другим.