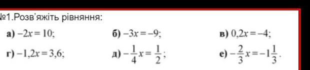
Розв’яжіть рівняння
Розв’яжіть рівняння
















Нужна помощь с задачей по будласка розв'яжіть рівняння ? Получите подробные решения и обсуждения от других участников для школьников 5 - 9 класс. Ответы на этот вопрос уже добавлены. Мы приглашаем вас задать свой вопрос и стать экспертом для других.
а)х=-5. б)х=3. в)х=-20
г)х=-3. д)х=-2. е)х=2