Блог для маленьких школьников и их родителей
ШколаЛа
18
Июнь

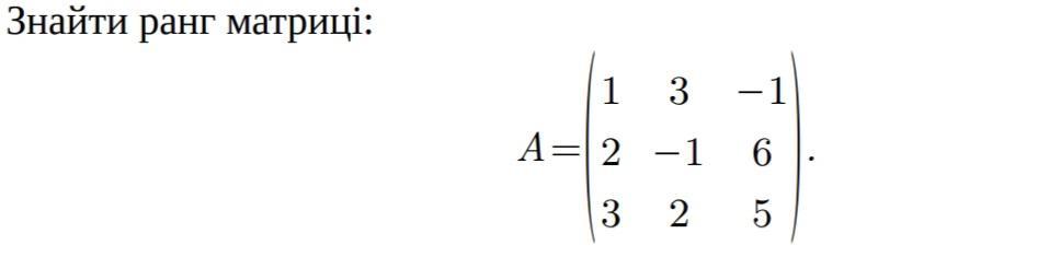
Знайти ранг матриці:

Автор: katyciro12
Предмет: Математика
Уровень: студенческий

Знайти ранг матриці:

Ответов к вопросу: 1
  • yarikyt96
    18.06.2024 | 09:37

    Ответ:
    Ранг = 2
    Пошаговое объяснение:

Ответить на вопрос:
:p :-p 8) 8-) :lol: =( :( :-( :8 ;) ;-) :(( :o:
Нажимая на кнопку я даю согласие на обработку персональных данных и принимаю политику конфиденциальности.

Нужны ответы на задачу по Знайти ранг матриці:? Читайте множественные решения и рекомендации от участников. Ответы на этот вопрос [Наличие ответов: если есть ответы, то 'уже доступны', если нет — 'пока нет']. Присоединяйтесь к нашему сообществу, задавайте вопросы и делитесь своим опытом с другими.