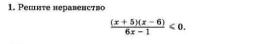
Решите пожалуйста неравенство. Срочно, если можете.
Решите пожалуйста неравенство.
Срочно, если можете.
















Ответы на задачу по Решите неравенство очень срочно пожалуйста для школьников студенческий. Узнайте решение и читайте обсуждения по предмету Математика. Ответы на этот вопрос уже добавлены. Наш сайт предлагает вам возможность стать экспертом и помогать другим.
Ответ:
Пошаговое объяснение:
.