Розв’язати рівняння : 1) -9x = 36 ; 2) -1,8 x=-5,4; 3) — х = 4, 4) x 17 = -25
Розв’язати рівняння :
1) -9x = 36 ;
2) -1,8 x=-5,4;
3) — х = 4,
4) x 17 = -25
















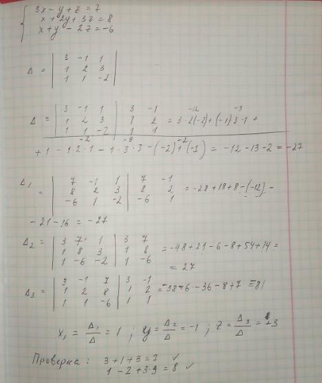
Ответы на задачу по Розв'язати систему рівнянь за формулами Крамера для школьников студенческий. Узнайте решение и читайте обсуждения по предмету Математика. Ответы на этот вопрос уже добавлены. Наш сайт предлагает вам возможность стать экспертом и помогать другим.
Ответ:
решено с любовью)
Пошаговое объяснение: