Помогите пожалуйста
помогите пожалуйста
















Ищете решение задачи по помогите пожалуйста? Узнайте, как решить задачу для школьников 5 - 9 класс, и читайте обсуждения на тему Математика. Ответы уже доступны. Задавайте свои вопросы и становитесь частью нашего сообщества экспертов!
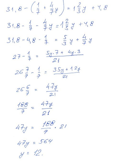
Ответ:
y = 12
Пошаговое объяснение:
см. вложение