Упростить выражение: 2(а+в)^2-5(а+в)^3-1/10(а+в)^4
упростить выражение: 2(а+в)^2-5(а+в)^3-1/10(а+в)^4
















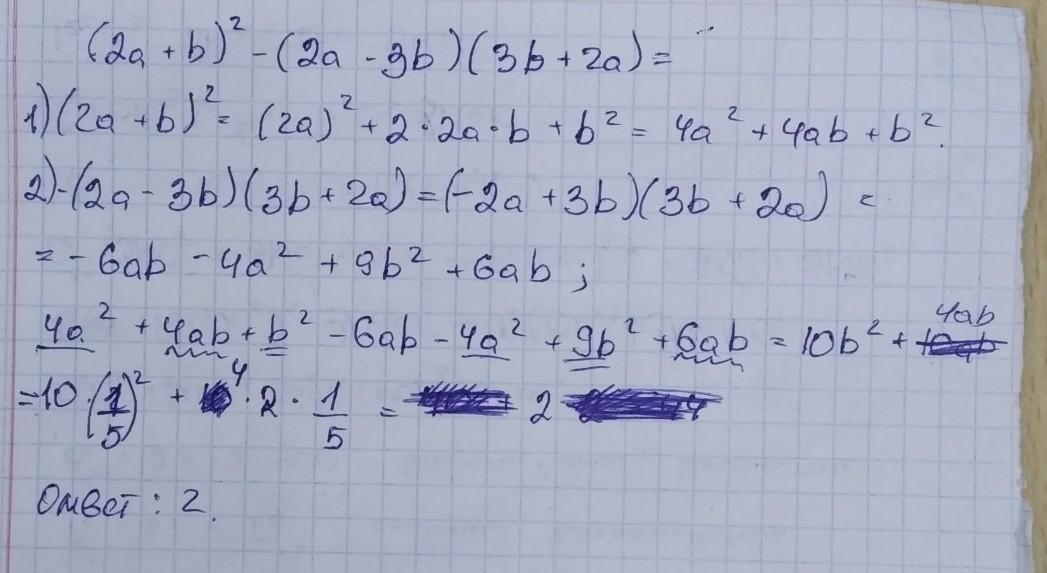
упростите выражение найдите его значение при а=2, в =1/5
(2а+в)²-(2а-3в)(3в+2а)
Ответы на вопрос по упростите выражение найдите его значение при а=2, в =1/5 (2а+в)²-(2а-3в)(3в+2а) для школьников 5 - 9 класс. Узнайте подробные решения и подходы от других участников. Ответы на этот вопрос уже добавлены. На нашем сайте можно не только задать вопросы, но и стать экспертом, помогая другим пользователям.
Ответ:
.
Объяснение:
. . . . . . . . . . . . . . . . . . . . . . . . . . . . . . . . .