Решите 2 задания,пожалуйста. на спам жалоба.
решите 2 задания,пожалуйста. на спам жалоба.
















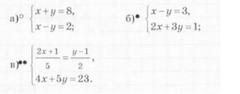
Ищете ответы на вопрос по Можете сделать задание : Решите способом добавления систему уравнений: ( спам ,нейросети = жалоба) для студенческий? На странице собраны решения и советы по предмету Алгебра, а также обсуждения от других участников. Ответы на этот вопрос уже есть. Вы можете задать свой вопрос, а также стать частью нашего сообщества экспертов.