Розвяжіть рівняння 2 3/5*х=1. У:4/5=4 3/8 срочно умаляю
Розвяжіть рівняння 2 3/5*х=1. У:4/5=4 3/8 срочно умаляю
















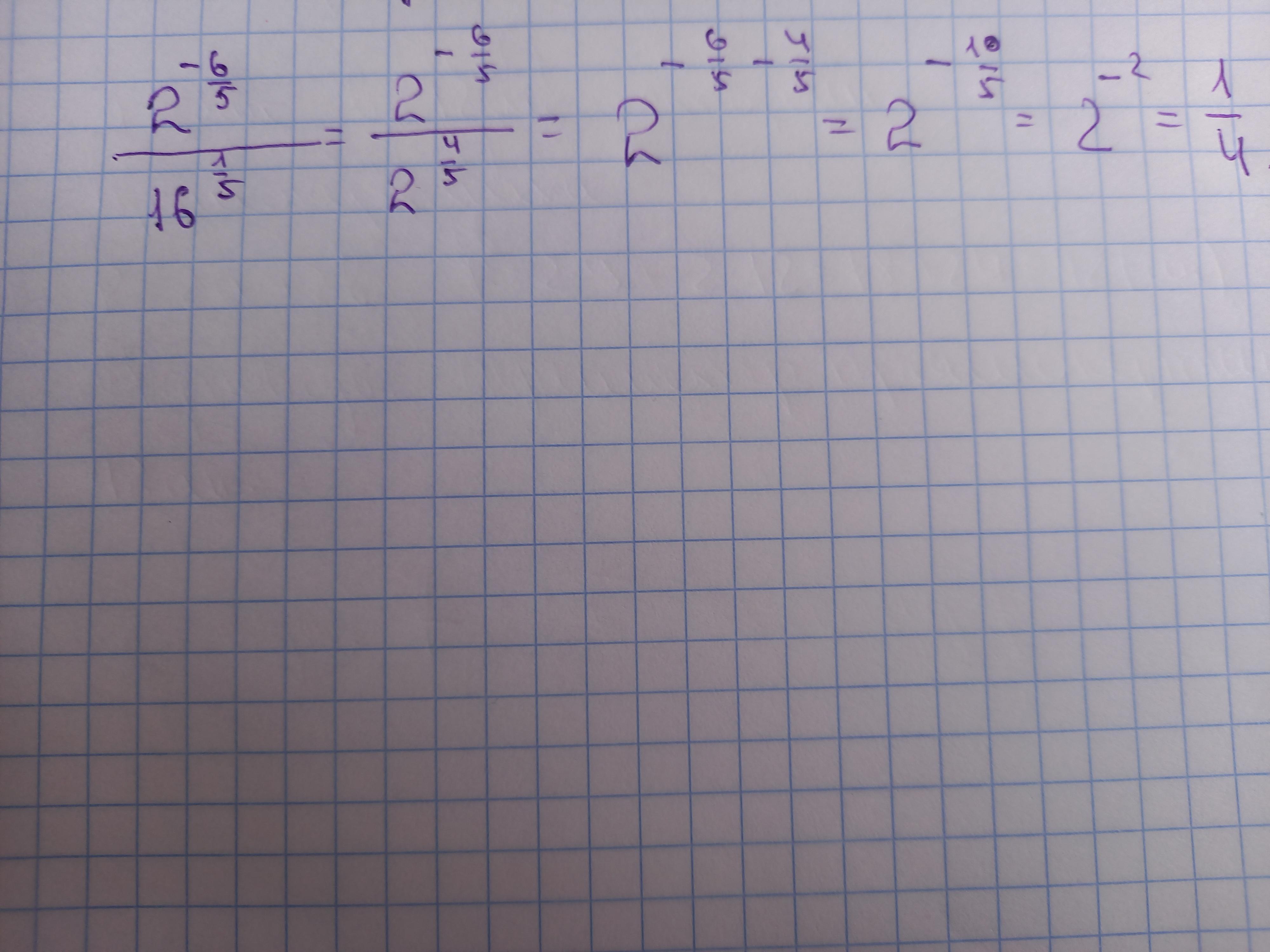
як скорочується 2^-6/5 і 16^1/5 . Я не розумію, будь-ласка поясніть
Не можете решить задачу по як скорочується 2^-6/5 і 16^1/5 . Я не розумію, будь-ласка поясніть? На странице есть несколько вариантов решения задачи для школьников студенческий. Ответы уже доступны. Задавайте вопросы, получайте помощь и становитесь экспертом, помогая другим ученикам разобраться в сложных темах.
Доброго дня. Якщо зрозуміла умову, то так.