Найти наибольшее и наименьшее значение функции на отрезке: Исследовать функцию и построить ее график…
Найти наибольшее и наименьшее значение функции на отрезке: Исследовать функцию и построить ее график у = x^3 — 3x^2 -9x+3 ; [-2;3]
10-11 класс
















Задача по СРОЧНО, НАДО В ТЕЧЕНИИ 10 МИНУТ СДЕЛАТЬ Найдите наибольшее и наименьшее значение заданной функции по заданном промежутке для школьников 5 - 9 класс? Читайте обсуждения и ответы на тему Математика. Ответы на этот вопрос уже есть. Присоединяйтесь к нам, задавайте вопросы и делитесь своими знаниями с другими участниками.
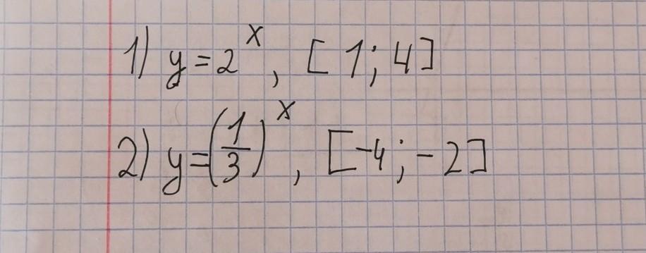
Ответ: 1) фкнкци я возрастает, поэтому минимальное значение 2^1=2, максимальное 2^4=16.
2) функция убывает, поэтому минимальное значение (1/3)^-4=0,012, максимальное (1/3)^-2=9.
Пошаговое объяснение: