Блог для маленьких школьников и их родителей
ШколаЛа
17
Август

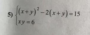
Решите систему используя метод введения новых переменных обязательно спасибо заранее ​

Автор: nurgs82
Предмет: Алгебра
Уровень: 5 - 9 класс

решите систему используя метод введения новых переменных
обязательно
спасибо заранее

Ответов к вопросу: 1
  • Frooogg
    17.08.2024 | 15:15

    Ответ: Вроде так

    Объяснение:
    y=6/3; y=2

Ответить на вопрос:
:p :-p 8) 8-) :lol: =( :( :-( :8 ;) ;-) :(( :o:
Нажимая на кнопку я даю согласие на обработку персональных данных и принимаю политику конфиденциальности.

Решение задачи по решите систему используя метод введения новых переменных обязательно спасибо заранее ​ для школьников 5 - 9 класс. Прочитайте ответы, обсуждения и советы от других участников. Ответы на этот вопрос уже есть. Задавайте свои вопросы, получайте помощь и становитесь экспертом, помогая другим.