Хелпппппппппппппппппппппппппппппппаа
Хелпппппппппппппппппппппппппппппппаа
















Решение задачи по Хелпппппппппппппппппппппппппппппппп для школьников студенческий. Прочитайте ответы, обсуждения и советы от других участников. Ответы на этот вопрос уже есть. Задавайте свои вопросы, получайте помощь и становитесь экспертом, помогая другим.
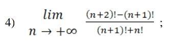
Ответ:
Распишем факториалы .